|
|
|
Vale of Pewsey. nr Oare. Wiltshire.
Reported 21st June.
Map Ref:
This Page
has been accessed

Updated Friday 30th July 2010 |
|

Image Olivier Morel Copyright 2010





It appears that this year's season will deal with
coded messages. I'm pretty good at this, considering I score in the
category of "Analytical detective" on IQ tests, and in the last 2 years,
have written an overly-analytical computer program that predicts the
stock market using the full processing power of 4 computer cores for 16
hours each night. (Running every night Mon-Fri)
With that said; I analyzed "Somewhere in Wiltshire" for about 10 minutes
before coming to the conclusion that there is no "Coded message" within
the 1's and 0's or dits and dahs. The main reason is because the
formation appears to deliberately have a "Maze" pattern. But on the
subject of Binary/ASCII and Morse Code...
On the subject of the Binary/ASCII, it is obvious from the design
pattern that this wouldn't be the case. Binary/ASCII alphabet letters
need to start with a 0. Also they are always in groups of 8. You'll see
at the end of my message why there can't be any characters divisible by
8. (I don't want to spoil it:)
On the subject of Morse code, Morse code consists of different numbers
of groups of dits and dahs, and require some kind of a pause or third
clue besides a dit or dah to tell us where a letter ends and where one
begins. Therefore it would take a computer program (which I could write)
to search for a Morse code message using millions of random starting and
stopping points for Morse code letters and numbers.
But it was more obvious than that. The truth is, this formation has 20
slices and 12 rings. Capiche? :)
Edward Francis Slayton Jr. |
First off, let's note the following:
- There are 20 radial lines, divided to 11 squares each.
- Some of the squares are flattened, some not.
- Some of the flattened squares form radial lines.
- Some of the radial lines are connected to each other with
circumferential lines.
- The connected lines form a closed "frame".
Now, let's look inside the frame:
Every second radial line has no flattened squares, and is therefore
a "separator". Let's look at every second line, those that have
squares, and count how many squares they have:
We get:
1, 0, 6, 1, 8, 0, 3, 3, 9, 9
Looks familiar? Well, to mathematicians :)
This makes 1.61803399, which is the golden ratio.
The "frame" holds no code as far as I can tell, it's just the
closest frame possible around the code, which doesn't touch it. Or
maybe someone can find the golden ratio also in the frame?
As for what lies outside of the frame - I don't know yet.

Strob |
|
We were in the crop circle at Chirton Bottom last
night around sunset and could see a cloud of reddish dust coming up
from the ground just over the tree line, as we watched the sunset
(so looking west obviously). We said at the time it could have
been a new formation happening and wish now we had tried to find it!
The dust cloud only lasted about 20 minutes and we'd be fascinated
to know if we were seeing it in the right direction for the new
circle found today. There were a couple of visible bright lights in
the area at the same time.
Sonia Cartlidge |
I read
with interest the crop circle report at Vale of Pewsey. nr Oare.
Wiltshire. Reported 21st June. And was fascinated with the golden
ratio. I went through the
Fibonacci sequence is:
F(n)
= F(n – 1) + F(n
– 2) and the values to get the 1.61803399 numeric value are 10,946
divided by 6,765. The actual golden number is not always an exact
number and always has trailing digits however to get the exact
numbers in the crop circle 1.61803399 these two values give you
1.618033998521803399 … etc.
The sequence is 0, 1, 1, 2, 3, 5, 8,
13, 21, 34, 55, 89, 144, 233, 377, 610, 987, 1597, 2584, 4181, 6765,
10,946 … etc.
Maybe there is something significant
with the numbers 10,964 and 6765? Maybe you can post this on the
circle page and maybe someone can find it?
10946 has the following translations
|
Roman Numerals: |
XCMXLVI |
|
Egyptian Numerals: |
    |
|
Chinese Numerals: |
壹萬玖佰肆拾陸 |
|
Babylonian Numerals: |
|
6765 has the following translations
|
Roman Numerals: |
VMDCCLXV |
|
Egyptian Numerals: |
    |
|
Chinese Numerals: |
陸仟柒佰陸拾伍 |
|
Babylonian Numerals: |
|
Sherry Goeller
|
Crop
Circle at Vale of Pewsey – June 21st 2010
Today is
Monday, 21 June, the solstice and I'm here to take a message from our
crop circle maker friends in regard to the pattern which arrived today,
and interestingly they told us a couple of
weeks ago that they would put down a message for the solstice
(see
http://www.the2012countdown.com/The_2012_Time_Line.php
) and so I checked this morning and lo and
behold, there it was!!! So I
am interested to see what they have to say about this pattern and so I
call our crop circle maker a friend forth, and he is saying;
This, as you can see has been laid down as a geometric pattern. It is
encoded in a way and it carries an encoding that once more the
subconscious will understand and you can see that the pattern is bounded
by a solid circle and there are some segments filled in and others not;
and one person has already identified that they are 20 slices and 12
rings and yes, it is a message about 2012, so that individual has done
very well. I would also say that, as you can see there are parts filled
in and parts not, and you can look at this as being like a pie and part
of that pie has been filled in and others not, and the information that
is coming in that humanity needs to understand, if you like to complete
the pie to complete the understanding that is required before the
arrival of those energies of the December 2012 solstice, that only some
of the knowledge is in place and it's in fragments.
Yes, some of it has come in as a sizeable piece and you could look at
the circle around the outside and the sizeable piece, you could say
which is filling in various segments of the pattern as coming forth with
this solstice, and so it is an important piece of the puzzle that needs
to be understood, that needs to be in place before that December 2012
solstice. But as you can see, it is only a piece of the puzzle. It is
far from the entire picture, and so you can also see there have been
other segments that have come in in the same way. There is a largish
piece in the middle that has filled in a number of segments and this
too, you could say has come forth along your path but there is much more
to fill in, and in some ways humanity will not understand the complete
pie, you could say until all of it is filled in and that will be filled
in as you proceed through the next 2 1/2 years. So that is the message
of this pattern.
Some have asked why we put this pattern in this place, where the farmer
or farm manager was not happy to have this pattern. We are not driven so
much by whether the farmer is happy to have the pattern there or not. We
are driven by where there is suitable material to work with that meets
our telluric energy requirements and is in an area where it is most
likely to be spotted. So for our purposes, it meets our primary
criteria. We do prefer to have them in places where humanity can get
access to them, for the reasons we’ve spoken about before in terms of
these being, you could say like temples and also because of the energy
that is placed in the grain, so that where it can be harvested
separately, that is to be encouraged. And this is all we have to say
about this pattern.
|
Blessings, Joy, Love and Peace. Richard Presser
www.the2012countdown.com
Copyright © 2010 Cosmic Connections (International) Ltd
|
 |
|
|
The Wilton Protocol – 2nd
Crop Circle Signals Ongoing E.T. Communication Effort
A new formation reported on June
21, 2010 at Vale of Pewsey near Oare, Wiltshire, clearly presents a
second stage event for a communication protocol first observed in the
Wilton Windmill, near Wilton, Wiltshire formation on May 22, 2010.
In our first article in this
series, New Wilton, Wiltshire Crop Circle Signals a Major Communication
Event is Coming, we expressed the opinion that Wilton could be prove to
be clear harbinger of what could be a major communication event this
season. With Vale of Pewsey, it certainly has.
According to the the Crop Circle
Connector site, “This formation [Vale of Pewsey in Wiltshire] seems to
me to have links to the Wilton Windmill formation that appeared in oil
seed rape earlier in the season.”
That assessment really caught our
attention because if this new formation as well as the previous Wilton
formation demonstrate authenticity in the field reports, then we have a
clear-cut, two-stage pattern of and ongoing communication event, we’ve
dubbed the Wilton Protocol.
UPDATE:-
29/04/2011
As I reflect on this Wilton
Protocol, what comes to my mind is not an orderly process as envisioned
by the Sacred Geometry Guild. Rather, when I look at this continual mix
of symmetrical and asymmetrical formations with differing message
metaphors over the years, I see something different happening.
The E.T. crop circle makers are changing the messages so as to find a
reliable way to convey their messages to us in ways we can understand
and participate in. Or more simply stated, they're throwing spaghetti
on the wall to see what sticks on our wall.
That's why things change. When they find something that works, they'll
explore the concept a little further. Consequently, there is evidence of
a heuristic process on their side as well as ours. Furthermore, the
creators of the authentic formations, are in my mind, a benign species.
READ FOR FREE
http://yowusa.com/et/2010/et-2010-06a/1.shtml
Marshall Masters |
|

Steffen Jaschob |
|
In response to Sherry Goeller's question about the numbers 10964:6765:
adding them up brings us to 20:24. If you add these up you get 8 -
infinity. Doesn't the phi ratio of 1.618..... go on infinitely?
Also, I did a little checking on the formation and noticed that
if you count up the blocks of crop in the concentric rings, both
laid and left standing, you will find every group to be a prime
number - 1, 3, 5, 7 or 11.
I'm not a mathematician so cannot see the message there, but
thought it might trigger some thoughts or a direction of thought
among the math wiz's that post to this site. Maybe they're
pointing to the alpha (prime) and omega (infinity) of existence?
Just a guess.
It seems to me that the circle makers are trying to tell us
something significant with the formations they leave us. I am
not really getting the depth of wisdom gained by the codes we're
seeing so far. Are we being too cerebral about them? Should we
be looking at them from a more heart-based perspective - squint
and feel them rather than put our brains and computers to work
to decode something we already know about? Are we able to
discern some significant and timely message from these codes
once they're unlocked? What are they really wanting us to know
now? What understanding are they wanting us to gain? How are
we to respond in the world based on what they leave in the
fields for us to experience?
Carolyn Anderson
|
I created a picture about the latest crop circle
(Vale of Pewsey – June 21st 2010). I basically unwrapped the circle
into a rectangle for better reading. I didn't find anything new, but
maybe some of you viewers might. You can post the image on your
site, if you like.

Did anybody noticed yet, that 1061803399 is a prime-number???
I think, that is significant. I'm not a mathematician.
Sven |
|

We might have to listen to the heart to find the
message here ;-)
Nexus |
|

Steffen Jaschob |
|

First, a back-story from the BBC on
the heart-shaped hawthorn grove in the adjoining field, as many
readers might be enquiring about it:
Love is in the air... in Wiltshire news.bbc.co.uk
Dominating Huish Hill, overlooking the tiny village of Oare, it's
not only a third the size of a football pitch but so big it can only
be really appreciated from the air.
So what is this massive heart doing deep in the Wiltshire
countryside? And is it, as Google Earth has claimed, a heart shaped
crop-circle?
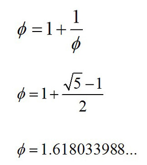
Second comment, on the value of phi –
the simplest way to arrive at this number is via the formula:
1+(5^(1/2) – 1)/2
i.e. 1+(((the squareroot of 5) – 1) /
2) = 1.6180339887498948482045868343656
Another interesting property of this
number, phi is that it is the only number that is a solution to the
equation:
x = 1+1/x
i.e. 1/phi =
0.61803398874989484820458683436564
1+ 0.61803398874989484820458683436564
= 1.6180339887498948482045868343656
The square root of
5 as is the case for any prime number, is irrational i.e. like pi
and e (the natural log) so its digits continue forever to infinity
without repetition.
Ashley Graham
|
I have absolutely no
idea what this may mean, but when I saw this latest crop circle I
remembered a game I had purchased a couple of years ago called
Zenerchi. I still have the game and played it for a while but can't
say I really understand it or what it may mean, but just wanted to
give you guys a chance to check it out.
http://www.games.com/game/zenerchi/.
Actually,
it's not a board game, but sort of a game for meditation. I'd love
to hear what formulations may come from this.


Also see the video
of the game
HERE
Aaron Turner |
Earlier in the season it was shown how
the Wilton windmill formation was aligned via the equinox
sunset to the area of windmill hill. It was also shown that
this alignment passed through certain key locations on the
landscape. I used the Pavilion Oare House as an example to
illustrate this. See my comments for the Wilton Windmill
circle and the image below.

This current circle has located itself in
a field next to this very same landmark. I personally read
this as a confirmation that the crop circles are indeed
placed on the landscape to incorporate alignments to the
solstice and equinox sunsets/sunrises, and other
astronomical alignments on the horizon at certain times and
dates.
One thing I have noticed this season is
that often the last formation will be aligned to the next
future formation via such an alignment, with the direction
of the December solstice sunrise or sunset being a popular
choice. In this example, following the direction of the June
solstice sunrise from the previous Chirton bottom formation,
leads to this formation.
Like many other crop circles this year,
this current formation near Oare incorporates many such
alignments. Not only that but the central maze path in this
formation is aligned to at least 8 (with the possibility of
9) previous crop circles that have appeared this year (!)
This crop circle represents a central
focal point placed in between all the previous circles that
have appeared this year. What a wonderful way of radiating a
message of love, by placing this circle next to a love
heart, with all the other circles radiating outwards from
this point. In the following diagram, all
the measurements are precise, with the end of the
lines leading to the exact centre of each formation.

The following image shows the alignments
included in this formation for the direction of equinox
sunrise, June solstice sunset and December solstice sunset
(as mentioned in other comments - the date of a total lunar
eclipse). There are two other alignments included with a
question mark. I don't know what the significance of these
alignments are at this stage. Maybe some else will be able
to work it out? I do know that they have nothing to do with
the position of the sun or moon as these do not move through
this area of the sky at any time during the year.

While researching these alignments the
next formation appeared at Newmark - a very distant crop
circle. I feel this was intentional to make sure we figure
out what this alignment may be, considering it's extreme
distance, and also the fact that the Oare formation,
Liddington castle, and the Newmark formation are in
EXACT alignment, a truly perfect feat for a crop
circle of such distance.


(Please insert Oare7.jpg
Oare8.jpg)
Luke Peacock.
|
|
|
The artistic style here resembles
rock art, a style is so basic that no earth culture would have any
conceptual problems interpreting this circle or many others. The crop
circle as a whole is obviously a comet. The head or nucleus of the comet
is in the centre. The surrounding rings represent different types of
gases, some of which may be acquired from the earth’s
atmosphere. Strong rays of light emanate from the comet,
suggesting it is quite brilliant, and possibly almost as bright as
the sun. In fact, some prophecies say that a comet nearly bright as the
sun will appear in the future. An example is Nostradamus, Century
2, Quatrain 41.
The number phi, the golden ratio or golden mean, is the visually most
beautiful or Pleasing relation between height and width. Phi may
enter into other situations as well. The circle makers have used this
proportion to indicate the best or ideal relationships between human
beings, and between the human race and its environment. Allowing for the
many different cultures on earth, Mankind has deviated substantially
from the best sense of proportion over the last four or five centuries,
and now the discrepancy needs to be significantly reduced.
The comet will be guided to strike the earth to help remedy our
undesirable situation, namely, the loss of our sense of ideal
proportion.
According to my investigations, the comet will be
actually quite bright, but not terribly destructive. It will strike
near the Arctic Circle in water; however, the trailing fragments will be
more widely distributed in the Northern Hemisphere. The best guess for a
date at this time is the early winter months of 2039. I am hoping more
information will be forthcoming from this crop circle.
Ken Heck |
|
My English isn't good.
我把这个图分解成四个部分,是不是像某些图纸?而且它们可以随意组合。2008年7月30日有个麦田圈和这个很相似。


Yan 彦 Sun 孙
|
|
|
I am angry about these extraterrestrial human beeings. They
play too much ! They are not profound here ! They know that
I don't agree that they make new crop circles this year ! I
think this is important to repeat here that my soul was the
one of Krishna, of Laozi and of Gautama Buddha : the Asia.
I have been mediator. There is a code for they and for me in
our communications for all people: the 214 keys kanji
-Japan- and the 214 Chinese keys.
Semantic links between my proposal* and the crop
circle at Vale of Pewsey reported 21st June 2010:
1- Alliot-Marie: ali - om - arie = aile - om - air = aile
(French) / wing - Om or mo - air
2- address of the French Ministry of Justice: 13, place
Vendôme
3- 20 rays: letter n°20: T: a symbol of the Justice.
1,61...
7- I have worked on the grapevine:
Conclusion:
I am sure that these extraterrestrial
human beings manipulate a little. Please, dear
extraterrestrial human beings who are welcome for the Earth
Gaia, would you like to stop to play now ?
Important message for all:
1°) There is an extraterrestrial enemy: Jesus "the
Alpha-Omega" and his clique:
2°) The Christianity is the spearhead of the invaders. These
events prove this:
Tribute:
This is my last article about crop
circles and I have decided to stop my mediations. I thank
warmly all persons who have taken the photos and who have
decrypted both recent crop circles "windmill", and Mr
Fussell of the Crop Circle Connector.
Jean-Charles Bourquin, Vishnou, Kalki
|
|
|
Vale
of Pewsey near Oare crop circle 25th June 2010
Good afternoon Matthew and welcome back;
this is Meroth and Filo. It has taken a little time to reach you for
this transmission but we are always pleased to be able to discuss our
crop circle creations with you; especially this one which has appeared
recently in the Vale of Pewsey near to Oare.
You read a lot of complicated
understandings and theories which are proposed with regard to the
meaning of the various crop circles we have created, and as we’ve said
before, there is no need to go into things in such detail. Such a level
of complication as is proposed by so many other interested parties is
quite frankly rather unnecessary.
It has always been our desire to attempt
to create circle designs which have strong visual impact. But also which
will communicate essentially a straightforward and simple message: that
simple and straightforward message in this creation is one of a maze. A
maze through which humanity is in the process of moving: the maze
comprises all the various elements and aspects of the intense period of
change which is currently underway.
Many people will view this creation in
many different ways, and this is exactly how a maze is viewed by
individuals; as in each person will choose a different path and believe
that this is the correct way to move through the obstacle if you like.
The obstacle in this case is the change in
consciousness which comprises a number of hurdles. Some of these have
already been negotiated; these being the financial and economic
upheavals or disruption if you like; the next phase – the next part of
the maze which humanity has to negotiate – is the geophysical disruption
which will gradually build to an intense period of upheaval, which will
bring about a number of significant changes to the way the Earth
operates, and will create a number of quite dramatic and at times
unpleasant circumstances, which humanity will deal with in the best way
possible.
So the visual representation is one of
many options; many paths; many different starting points for so many
individuals, who will have so many different understandings of these
experiences. It is a simple way of representing this intense period of
change with many beginnings and many endings for everyone involved.
We would ask you to try to view future
creations with a very open mind and also to try to simplify your
interpretation and understanding from them: there was never any
intention to over-complicate this material for obvious reasons.
We hope this is useful and look forward to
working with you again soon: good afternoon.
Matthew Lewin
www.thenewgoldenera.co.uk |
|
Hawton near Newark crop circle 25th
June 2010
Good evening Matthew and welcome back.
Humen has joined us so we are all three of us working together on this
particular piece. This creation at Hawton near Newark is very
straightforward as you know. It has a very intricate texture and weave
in the circle, but there is very little in the way of design features at
all; so it would appear to be rather unattractive and unappealing when
compared to other more recent creations.
It is simply a sign Matthew; it is simply
an indicator; a straightforward pointer that the crop circle activity of
this summer 2010 is about to move on to a much larger canvas if you
like. It is going to move away from the traditional
Wiltshire-Oxfordshire axis where the vast majority – with a few
exceptions – of crop circle activity occurs.
We sent a document to you a short while
ago, which we don’t think has yet been printed on this site. It
basically details how crop circle activity in a short while will begin
to spread to other areas in the country. As we say the concentration of
our activities in the area of Wiltshire primarily, will gradually shift
and there will be a considerable amount of activity this year which will
be as far away as perhaps Lancashire in the north, right down into
Cornwall in the south.
So this is something that we would like
people who are interested in tracking such creations to be aware of and
to look out for. We now believe it is time to extend the reach of this
programme away from the locality in which it has become very strongly
associated, and to bring it to the attention of a much wider viewing
public.
We would encourage you then to publish
this other document, which came through to you a while ago, detailing
particular creations which were going to occur in other parts of the
United Kingdom, as we believe this will provide people with the
necessary information to ensure that these creations are first of all
identified, and secondly understood and appreciated.
We hope this has been useful: we will
return again to work with you very soon. Good evening
Crop circles to come
at Redruth Cambridge & Clitheroe 31st May 2010
Good evening Matthew, thank you for
coming back to us at this late hour; this is Humen and Filo working in
unison on this transmission. We thought that to work in this way on this
first occasion, would demonstrate to you just how closely we are
actually working together on the whole crop circle information project.
So we are pleased that your interest has
been rekindled. We very much hope that you will take the opportunity to
visit a number of our creations in the not too distant future. We are
very keen for you to do so: you will be very actively involved in this
whole programme.
One of the things we mentioned to you
early on was that the programme was being enlarged, in that it would be
extended away from the initial original axis essentially based around
sites in Wiltshire. So we are going to bring you a bit of information
about circles which will appear during this summer period. We can’t tell
you the date, or necessarily the sequence, but what we can tell you is a
few locations where they will be occurring; well away from where you
would normally expect them to be.
So the first of these is Redruth in
Cornwall. The important thing to note about this location Matthew is
that it will be created on a new type of substrate. It will not be a
circle that is created within a living crop. So that will be fascinating
for you to witness and to understand.
Another location will be very close to
the city of Cambridge. This will be within a living substrate: it will
be within sugar beet, but again this is a new substrate for us to work
in. It represents a new challenge: we find the prospect very exciting.
The other location - we’re only going to
give you three at this point in time, but there will be others – is a
site close to Clitheroe. This will be working within a traditional
crop-type substrate. The important thing here will be the location and
the way in which this circle can actually be viewed.
Matthew Lewin
www.thenewgoldenera.co.uk |
|

Matt Rock 28/06/2010 |
|
Following
ideas that have been left here before, if we get 1.618 and raise it
to the power of 13 (12 rounds in the crop plus the center= 13) we
get: 520. This number could be associated to the Tzolkin which has
260 days, so 520 would mean 2 Tzolkins. On the other hand, if we
take the Mayan Long Count which ends on the December 21st
2012 and count 520 days before that date, we get to July 20th
2011 which according to the Tzolkin (Guatemala Count) will be a day
known as 4 Ahau. Those of you, who follow the Mayas, know the
importance of 4 Ahau. Due to other investigations we’ve been doing
for the last 9 years, the three days following July 20th
2011 (4 Ahau), that is: July 21st, 22nd
and 23rd 2011, could be days of great transformations
and sudden impact for our planet as well as for us humans. Does this
have something to do with the third message of Fatima? We are not
sure…. Maybe someone else has considered these dates, in which case
please let us know.
Finally,
when we saw the crop at Hawton, nr Newark, Nottinghamshire,
reported June 22nd, we immediately considered the circle
as 360° and as a tun,( which for the Mayas is a period of 360 days)
previous to July 20th 2011, which takes us to July 25th
2010, this date is important because: a
Jacobean Holy Year is when July 25th , the feast of the
martyrdom of the Apostle Santiago, matches a Sunday as it will be
this year. This feast started in the year 1122, since then
118 Sundays have matched the date. The number 118 reminded us
of something we had read long ago in the internet: (http://www.snopes.com/religion/center.asp)
What
is the shortest chapter in the Bible? Answer - Psalm 117
What
is the longest chapter in the Bible? Answer - Psalm 119
Which
chapter is in the center of the Bible? Answer - Psalms 118
Fact:
There are 594 chapters before Psalms 118.
There
are 594 chapters after Psalms 118.
Add
these numbers up and you get 1188.
What
is the center verse in the Bible? Answer - Psalms 118:8
Does
this verse say something significant about God's perfect will for
our lives?
"It is
better to take refuge in the Lord than to trust in men." - Psalm
118:8
Grupo Yox - Argentina
Siguiendo las ideas que han aparecido aquí antes, si tomamos el
1,618 y lo elevamos a la potencia 13 (12 anillos en el crop más el
centro = 13), obtenemos: 520. La cantidad puede ser asociada
al Tzolkin, que tiene 260 días, por lo que 520 significaría 2
Tzolkins. Por otra parte, si tomamos la Cuenta Larga Maya que
termina el 21 de diciembre 2012 y le restamos 520 días,
llegamos al 20 de julio 2011 que, según el Tzolkin (Guatemala) será
un día conocido como 4 Ahau
.
Aquellos de ustedes, que siguen a
los mayas, saben la importancia de un 4 Ahau. Debido a otras
investigaciones que hemos venido haciendo durante los últimos nueve
años, los tres días siguientes al 20 de julio 2011 (4 Ahau), es
decir: 21 de julio, 22 y 23 de 2011, podrían ser días de las
grandes transformaciones y el impacto abrupto para nuestro planeta
así como para nosotros los humanos.
¿Tiene esto algo que ver con el
tercer mensaje de Fátima? No estamos seguros.
Tal vez alguien más ha considerado
estas fechas, por favor háganoslo saber.
Por
último, cuando vimos el crop aparecido en Hawton, nr Newark.
Nottinghamshire el 22 de junio 2010,
inmediatamente lo vimos como un círculo de 360° y esto lo asociamos
al tun, (que para los mayas es un período de 360 días) restando 360
al 20 de julio 2011, nos lleva al 25 de julio de 2010, esta fecha es
importante porque: un Año Santo Jacobeo es cuando el 25 de julio,
fiesta del martirio del Apóstol Santiago, coincide con un domingo,
como será este año. Esta fiesta se inició en el año 1122, desde
entonces 118 domingos han igualado la fecha. El número 118
nos recordó algo que había leído hace mucho tiempo en la red:
(http://www.snopes.com/religion/center.asp)
¿Cuál
es el salmo más corto en la Biblia? Respuesta – Salmo 117
¿Cuál es el salmo más largo en la Biblia?
Respuesta – Salmo 119
Qué salmo se encuentra en el centro de la
Biblia? Respuesta - Salmo 118
Hay 594 capítulos antes del Salmo 118.
Hay 594 capítulos después del Salmo 118.
Suma
estos números y obtendrás 1188.
¿Cuál
es el versículo central en la Biblia? Respuesta - Salmo 118:8
Dice este versículo algo importante acerca de la perfecta voluntad
de Dios para nuestras vidas?
"Es mejor refugiarse en el Señor que confiar en el hombre." - Salmo
118:8
|
I get the feeling that this set of
Crop-Circles is going much deeper into a realm that is much more
fundamental. From this point of view the recent oil spill looks
as insignificant as spilling a glass of lemonade at the dinner
table... I do not want to belittle the oil spill, we all know
how big its impact is ... But at least to the Crop-Circle makers
it does not seem of greater importance...
Last year we had a sequence of wild-life and
I got carried away hoping that this would become a new feature.
I even posted some articles around the Humming-Bird Design, the
Naszca Lines of Peru and my interpretation on the expansion of
consciousness... I don't retract from what I wrote, but it seems
that that chapter on earths fauna is now closed. They said what
they had to say and moved-on to a new chapter.
This season will probably be no different ...
we'll be astounded by a set of pictograms, only to find the next
season totally different and even more astounding...
I have many friends who are sure that all
this is a hoax (as in man-made hoax)... They are so sure of
themselves that I have even quarrelled with a few and lost some
valued friends... I don't think these images are man made ... if
a man made them, then that man should show us how its done...
Because the best teams in the world cannot replicate what is
offered on show (and "replicate" means "copy" so no issue on the
development of unique design)... No, I'm certain this is
something a lot bigger. But ask me to explain it and I'm at a
total loss.
I've considered some extreme options (mind
you) these are my views and in no way scientifically proven 1)
this is a hoax by a current human organization 2) these are
affirmations from past higher cultures 3) this is a signal from
ourselves in the Future (Timetravel) 4) this is
extraterrestrial. Also some opinions from friends that I was
unable to ignore 5) this is an affirmation from our own
subconscious 6) it is a design by a few on earth who are far
more evolved than the majority...
I could go on ... I just had a heated debate
with an old friend and it did not go well ... He claims this is
all "hogwash" and that it has been proven to be an elaborate
"hoax"... I would not mind if it were ... but there's no proof
either way. The fact is these images only reach a select few.
But the few who are reached do not need to be reached, because
they were already interested. The majority who reject this will
not and won't ever budge ... and interestingly they are the very
ones who debate for continuing to destroying our planet.
Nice to get some designs printed on Britain's
fields... But whoever it is, be it aliens from Alusia or
Time-Travellers from Past, Present or Future, or even a group of
very clever farmers somewhere in Wilshire ... If you've gone
this far, you might as well go all the way... Otherwise don't
bother... I think that was the content of the latest Crop
Circle... Point of no Return... The Mission goes through as
planned...
Interestingly since I wrote the above, a lot
of insights came in from others who are more versed in
fundamental sciences and the cracking of codes than myself, and
the outer layer of this onion seems to look at "the Golden
Section", or "Fibonacci Sequence" ... Amazing really, as this
ratio permeates just about everything known in our Universe,
from perspective to the formation of galaxies themselves. If
this were not enough, life itself follows this rule without ever
questioning its validity, be it the way petals form around a
flower, seeds are formed within a sunflower or the proportion of
the human body. Of course the best example is how a shell of a
snail expands and grows...
Somehow this "New Chapter" in Crop Circle
Design is still looking at the same issue as before, but using a
slightly different palette of colours... Just recently it just
struck me where I had seen this image before... remember "Star
Wars?" ... Well throughout the film series a little robot called
R2D2 performs his most heroic acts by accessing computer
terminals. But these are not "parallel ports" or "USB sticks",
he actually sends his probe into access ports a bit like a key
into a lock and turns them a bit like opening a safe ... Well
this image looks just like one of these ports... I've no idea if
this was intended, but I think the elements need to be rotated
in specific sets and if done correctly can reveal "wonders
beyond our imagination"...
I'd go further ... But most won't like it ...
this is a case of Cybernetics contacting Organics... Buckle you
seats this could be a turbulent ride...
PeSt
|
|
I want to share an interesting
analysis of the Vale of Pewsey circle of 6-21-10. I created a 3D
model of the Pewsey crop circle and then made a repeating animation
of it rotating about the centre. I do not know if anyone else has
done this in the past but the results are both exhilarating and
eerie at the same time.
The animation has been
uploaded to YouTube. You can observe it at:
http://www.youtube.com/watch?v=1MX7s071jaU
It is immediately obvious
that crop circles are intended to be more than visual still shots.
What strikes me as an engineer
the most is how it shows reciprocating motion, processional motion,
eccentric off centre cam like motion and does so simultaneously with
both the lighter layer down areas and the green untouched areas.
The light and dark areas
appear to be in some sort of equilibrium. These motions are all part
of an integrated whole and are therefore all related to one another.
As the rotational frequency changes, the dynamic relationships
between these various motions change as well.
This type of analysis opens up
a wide area of investigation of both this one and many other crop
circles. I'm very curious to see what other researchers think about
this.
Update:-
Something interesting going on with the frequency dependence.
Mike Lavender
03/07/2010 |
|
"Lectori Salutem! (Latin for "greetings to the reader")
While the gate to the heaven will be opened,
the world will be ready to accept the transmission of a raised
power and a new earth will be born! while for some victory will
be put by extra-terrestrial beings and an era will be closed,
for others there will be the victory of the heart! victory over
the new world order!"
This as far as I know was posted late June on the Dutch website
that goes by the name of Niburu.nl, under the article heading of
"another coded message in a crop circle" as you know being in
your business the web can be very confusing, as is this page as
it displays a picture of the Wilton windmill ASCII circle from
late May! but I'm informed that its actually a decoding of the
Oare formation! Classic! Wheres Paul Vigay (RIP) when you need
him? Hopefully the codes authenticity can be established, it
certainly has a ring of truth about it...
Stuart Deacon |
|
|

BACK |
Mark Fussell & Stuart Dike |
|
|